梅姬颱風雖然正逐漸遠離台灣,不過昨晚強烈的風勢,讓各地都滿目瘡痍,全台的行動基地台也難倖免於難。 根據NCC公布9/28上午9點發布的「梅姬颱風第21報災損統計表」,全台共用13,224座行動基地台受損,目前已修復4,220座,修復率為31.91%,預計9/30前將可以將所有基地台修復。(更新: NCC 9/28晚上6點發布的「梅姬颱風第24報災損統計表」,全台共用13,853座行動基地台受損,目前已修復5,383座,修復率為61.13%。)
故障的行動電話基地台何時會修復呢 ? 因風災造成行動電話不通可以向電信業者求償嗎? 以下提供各地行動基地台受損故障的詳細資訊及風災導致訊號不通的賠償規範:
這次梅姬颱風穿台而來,讓台灣迎來了全島性強陣風,各地都刮起最大12級陣風,根據台灣颱風論壇資料,台中梧棲與台南永康測站更刷出站史第一!在這樣強陣風的影響下,通常位於高處的行動電話基地台就難逃風損命運。

圖片來源: 台灣颱風論壇
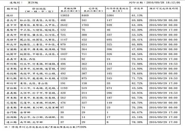
NCC 9/28晚上6點發布的「梅姬颱風第24報災損統計表」,全台共用13,853座行動基地台受損,已修復5,383座,修復率為61.13%。
全台各縣市這次行動基地台受損數量最嚴重的前五名依序是台中市( 2,642座)、彰化縣(1,220座)、雲林縣(1,193座)、高雄市(1,147座)及桃園市(1,037座),預計最慢9/30 00:00前將可以將所有基地台修復。 最新各地基地台修復狀況,請查閱NCC的最新公告或洽詢各電信業者客服。
由於颱風災後,各地路況不佳,尤其是位於偏遠地區的災區路況更是險象環生。各電信業者的NT工程師搶進偏遠災區,不只得克服躁熱與雨,遇到山崩、橋斷或毒蛇更是棘手。是故,這次受梅姬颱風影響導致行動通訊訊號不通或收訊不佳的民眾請多多包容。

圖片來源: 東森新聞雲
因風災造成行動電話不通可以向電信業者求償嗎? 由於風災屬於天然災害或其他不可抗力之原因,根據NCC所制定的行動電話簡訊特碼服務租用契約條款: 「自連續阻斷不通屆滿三日之翌日起至修復日止不收租費。」 若各電信業者都能在9月30日前修復基地台,各電信業者都可以依契約規範不給予月租費折扣。


